Accueil
Blassac
Actualités
Archives
Vie municipale
L'équipe municipale
Procès verbaux
Vie pratique
Démarches administratives
Loisirs & tourisme
Patrimoine naturel
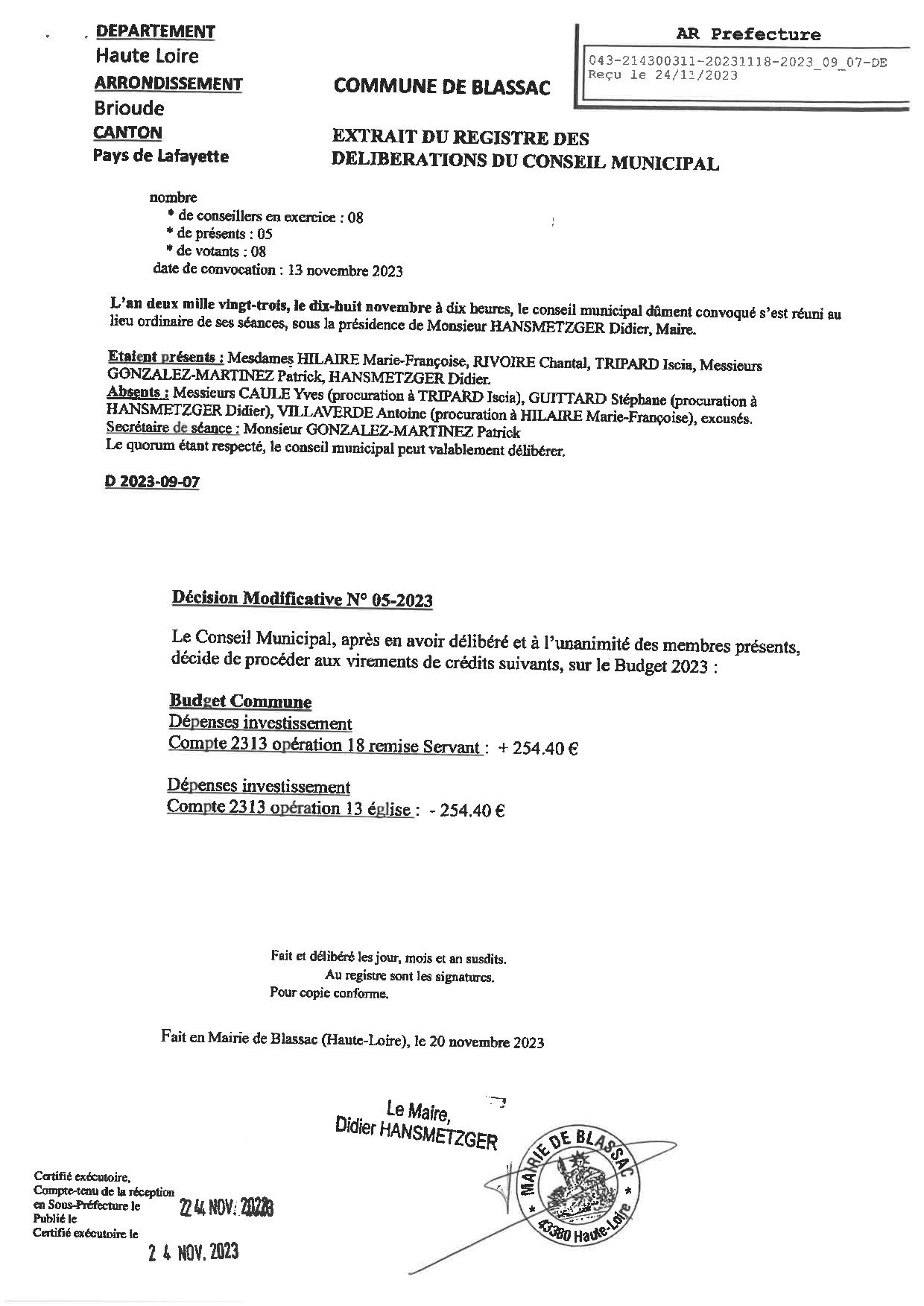
Procès verbaux de réunions du conseil municipal de Blassac
DELIBERATIONS DU 18/11/2023
RETOUR